Du point au deal

Thembeka
Les programmes de fidélité vont-ils survivre?

Depuis le début des années 2000 leur format s’est stabilisé. Incarné dans la carte plastifiée, vivant dans une mécanique plus ou moins rodée de points acquis au cours des achats et consommés sous forme de primes et de cadeaux dont l’efficacité reste parfois à prouver, ils offrent la possibilité d’action ciblées sur les groupes de clients qui consomment le plus régulièrement et le plus fréquemment. Ces programmes s’appuyant sur des systèmes CRM désormais éprouvés, permettent de segmenter sur la base des comportements et au-delà du RFM de développer des programmes de communications adaptés aux profils des clients. Même s’ils se sont différenciés – une de nos étudiantes de master MOI en distingue 7 familles– leur structure fondamentale est identique.

Aujourd’hui trois éléments semblent en menacer l’équilibre mais proposent de nouvelles opportunités: la virtualisation des cartes, la digitalisation de la promotion, l’esprit du VRM.
Le premier élément appartient à l’ordre de l’évidence : la pénétration croissante des smartphones -  disons plus de 50% à l’horizon 2015, nous en sommes à un peu plus de 30%  - qu’accompagne le développement du NFC qui concernera un mobile sur 4  dans le monde en 2015 va encourager le déplacement du support du programme de la carte vers le mobile. Sans attendre, d’autres solutions à base de QR code sont déjà disponibles. Le changement de support pourrait être considéré comme simplement technique s’il n’apportait pas de nouvelles fonctionnalités dont la géolocalisation est sans doute la plus importante. Pour s’en convaincre cette série de cas sur Foursquare est instructive. Ce qu’on doit en conclure est que nous n’en sommes plus à l’identification du profil de consommateurs, mais de sa situation d’usage. La géolocalisation est aussi une question d’instant : un lieu, un moment, une action. Avec le mobile la carte n’agit plus seulement sur un client moyen mais sur l’acte de consommation.
Le second élément réside à la fois dans l’irruption du social shopping dont le phare est Groupon  mais dans la lumière duquel prolifèrent les clones. Cette nouvelle espèce du e-commerce et de la consommation non seulement est sociale mais généralise le deal dans les pratiques de consommation. Soyons aussi attentif aux sites de marques qui de plus en plus distribuent leurs propres coupons. Le succès des sites de bonnes affaires, par ces temps d’inquiétude économique qui encourage l’opportunisme des consommateurs, risque de faire éclater le statut quo recherché par les stratégies de fidélisation. Ces machines de guerre au service de l’acquisition client par l’importance des avantages qu’elles procurent aux consommateurs, annihilent la valeur des récompenses apportées par les points. La brutalité des deals va conduire les programmes de fidélité à  réapprendre la manière de délivrer leur récompense ainsi que leur montant. Les logiques d’accumulation, ces  bons points scolaires patiemment obtenus pour obtenir une belle image, doivent désormais laisser le pas à des cadeaux plus audacieux dont l’obtention est plus aléatoire. On retrouve ici sans doute la logique de la « gamification ». Quant à la dimension social, un programme tel que Blue Calypso indique la voie : encourager l’advocacy, et faire des membres du programme les ambassadeurs – ou les VRP – de la marque.
Le troisième élément est encore discret mais risque de grandir vite. Pensé à Harvard dans les bureaux du Berkam center, réalisée en Angleterre avec le projet Mydata.com, il a l’intention de renverser les rapports du consommateur à la marque. Les données qu’on collecte par les cartes peuvent aussi être rendues au  client pour l’aider aux travers d’applications spécifiques à mieux contrôler sa consommation. Le VRM ( Vendor Relationship Marketing) peut sans doute devenir une source d’innovation pour les programmes de fidélité et élargir le spectre des services qu’elles peuvent offrir. Ne serait-il pas utilise que les distributeurs nous rendent nos tickets de caisse et leur donnent de l’intelligibilité à la manière dont Nike+ nous aide dans nos entrainements ? Ne serait-ce pas une manière d’échapper à l’étau du discount.
Il y a bien sur d’autres éléments à prendre en compte - l’élément social  au premier plan-  mais ceux-ci suffisent déjà pour dessiner les grandes lignes d’une architecture renouvelée des programmes de fidélisation :
  • Du point de vue matériel si la carte plastique a une valeur symbolique d’appartenance et d’attachement qui doit être maintenue, c’est d’une part dans son intégration dans les mobiles et le développement des interactions aux différents points de contact et d’autre part le développement d’espaces client  riches et personnalisables qui sont prioritaires.
  • Du point de vue de la mécanique de gratification ( Earn et burn), d’autres modèles que l’accumulation linéaires des points doivent être envisagés. Une part de deal, et l’accès privilégié à ceux-ci sera nécessaire, pour rendre moins systématique la logique de récompense.
  • Quant aux données, si elles sont une source d’intelligence marketing pour l’entreprise qui doit encore être améliorée, la voie royale sera d’en faire la source d’intelligence des consommateurs.
Les espèces survivent en s’adaptant, à l’âge de la promotion digitale les programmes de fidélité n’y échapperont pas, à moins que tels les dinosaures, ils laissent place à d’autres espèces. L’évolution dans la nature ou dans les affaires n’est pas toujours incrémentale mais obeit aux lois de l’équilibre ponctués.
PS1 : une version allégée de ce post a été publié sur Goldeneyes blog
PS2 : l’étude de l’évolution de ces programmes fait l’objet d’un projet du Master MOI en collaboration avec la journée de la Fidélité .

lire aussi :
-l’indispensable gratification ou les aléas de la consommation

Des ambassadeurs, des avocats et quelques présidents…

Hessel

Depuis quelque mois, un comparateur d’avis, test and trust, a pris l’initiative de faire élire des Présidents des clients. Belle idée que de doter la foule indistincte des consommateurs d’un représentant, de la même manière que les classes désignent leur délégués. Depuis longtemps la littérature académique s’intéresse au brand et au customer advocacy. Des avocats qui se trouvent dans la clientèle, ou dans le personnel, défendent les intérêts de la marque ou ceux des clients, les défendent car la marque défend l’intérêt des clients. Les marques désignent parfois  aussi parmi leurs bons clients, leur personnel, où dans la société civile des ambassadeurs.
Des avocats, des ambassadeurs, quelques présidents, des représentants, des fans, des supporters, des partisans, des perte-parole, des égéries… On devine dans la diversité sémantique un trait commun. On peut aussi être critique et ne voir dans la profusion du vocabulaire qu’une variation sur le thème du leader d’opinion.
Toutes ces initiatives, ces idées, ces concepts rejoignent une idée devenu courante d’engagement. Un engagement qui ne se confond pas avec ce qu’en anglais recouvre l’idée de commitment qui a été essentiel dans le développement du marketing relationnel - cette croyance que le maintien de la relation est plus important que les effets des épisodes qui s’y déroulent – mais qui concervant la même graphie - « engagement » - se définit comme un état d’activation permanent du sujet qui se traduit dans les dimensions cognitives, affectives et comportementale (1). D’un point de vue plus pragmatique, cette idée d’engagement se rapporte moins à l’idée d’un attachement privilégié qui s’inscrit dans la durée, qu’à celle d’une activité plus ou moins soutenue qui se traduit par des formes variées de prosélytisme, de défense, de promotion, d’encouragement, de soutien, de militantisme. Cela apporte-t-il quelque chose de vraiment neuf ? Oui et non.
Oui, dans la mesure où l’engagement dans la relation ne peut pas seulement se caractériser par une sorte d’adhésion et de prédominance du lien, mais aussi par un certain degré d’activité et de liberté. Il y a ces engagés qui loyaux et silencieux supporteront les avanies de la marque, mais aussi ces chevaliers orageux qui la défendent en toute liberté de ton et d’action. Le neuf est dans l’idée d’engagement dans la relation peut supporter une large variété de comportements. Non, dans la mesure où l’on ne fait que raffiner et sophistiquer une idée principale, celle qu’au-delà de la transaction, le lien qui unit le client aux marques surdétermine les conditions de l’échange. L’élément neuf est à trouver ailleurs.
L’idée d’ambassadeur de marque est bien ancienne, elle s’associe à ces vieilles pratiques d’endossement dont la marque Lux en est peut être l’inventeur. Dans une forme plus moderne, ce sont ces clients qui militent au nom de la marque, la représente. Les clubs de supporter en sont l’exemple, les beta testeurs un autre. Le marché des alcools les utilise avec talent . Dans tous les cas les ambassadeurs de la marque s’ils sont recrutés parmi les bon clients, les fans, ou les leader d’opinions ne se limitent pas à être des supporters, mais sont dotés d’un statut. Ce qui les différencie des leaders d’opinions est une forme de contrat qui les lie à la marque, définit leur mission, et les dotant d’un statut leur permet de jour un rôle particulier. Ils peuvent être rémunérés, ou non, ils sont un prolongement de l’organisation au-delà de ses frontières, il ont un rôle de représentation, on leur délègue des pouvoirs et on leur donne un ordre de mission. L’avocat de la marque peut se donner lui-même le mandat et la mission. Très certainement la défense qu’il exerce sera motivée par ce que la marque fait en reconnaissance de ses actions. Ce qui distinguera ces rôles du leader d’opinion réside au fond dans une institutionnalisation de l’engagement.
Dans cette voie de réflexion, il est tentant d’examiner le symétrique. Le président des clients représente le client auprès de la marque. Son pouvoir vient d’une investiture. On retrouvera cette idée dans le rôle que certains employés doivent jouer au sein de l’organisation pour faire valoir la parole des clients. Ce serait naturellement la fonction d’un service consommateur, même si souvent ils ne sont là que pour enregistrer les réclamations. C’est partiellement le rôle institué des médiateurs, même dans la définition du rôle, ceux-ci ont vocation à maintenir une certaine neutralité et se confiner à résoudre et apaiser les conflit.
La relation client ne peut se limiter au maintien d’une certaine qualité, elle nécessite la formation d’institutions qui assurent au-delà des relations individuelles la structuration des relations entre la marque et le marché. Les ambassadeurs, les avocats, les médiateurs, ces présidents structurent en-deçà des frontières des fonctions de représentation, de médiation, et de défense des intérêts des uns et des autres. Dans les deux cas, c’est un statut qui définit leurs ressources et leur rôle.
A l’heure d’un marketing dit social, nous devons être attentif à cette dimension institutionnelle. Une gestion sociale de la relation client ne peut pas se limiter à exciter l’agitation des plus engagés . Ce ne serait que reproduire dans l’espace digital ce qu’on a imaginé dans les années 50 avec l’idée de leader d’opinion. Ce serait croire qu’on peut mener une campagne politique uniquement avec l’aide des sympathisants et sans militants. 
La relation sociale nécessite plus. Elle a besoin d’organisation, de représentants, de médiateurs, de figures auxquelles les foules délèguent des pouvoirs et qui investis de ces pouvoirs peuvent légitimement représenter les uns et les autres. Des avocats, des délégués, des représentants, des présidents, des députés, des ambassadeurs, des négociateurs, des arbitres, des truchements…
Le web, et le marketing, n’est pas social parce que des individus sont interconnectés, il l’est parce que certains groupes – des cliques dans le langage des réseaux- peuvent déléguer à d’autres le soin de les représenter et de les défendre, parce que ces groupes reconnaissent à certains le droit de porter la parole de la la marque. De part et d’autre des frontières organisationnelles de la marque c’est donc une architecture délicate qui doit être bâtie qui distribuent des rôles et structure la relation de la firme au marché. Le social CRM est une ingéniérie sociale, une construction politique.
(1) W.A. Kahn, “Psychological Conditions of Personal Engagement and Disengagement at Work,” Academy of Management Journal, 33/4 (December 1990): 692–724

Chronique 38 - Une chronique courte pour deux livres

Il y a des rentrées qui font plaisir. Cette rentrée en fait partie au moins pour une raison ou deux. En l’occurence la sortie de deux livres auxquels nous avions été invités à contribuer.
Et ces deux livres, bien au-delà des chapitres que nous avons rédigés, se complètent à merveille. Le MBA Marketing, coordonné par Jean-Marc Lehu, est comme son titre l’indique, un manuel fondamental de qualité. Ses 26 auteurs forment un beau panel de spécialistes, il couvre le tout champs en donnant une place importante aux sujets nouveaux que ces dix dernières années ont fait apparaitre, éloignant peu à peu les 4 P à une ère historique. E-marketing et e-commerce, sera l’outil de ceux qui veulent approfondir les vertigineux développements du marketing au travers du digital. Coordonné par Thomas Stenger et Stephane Bourliataux- Lajoinie, il donne en 10 chapitres une perspective complète d’un champs aux frontières de la technique, du social et de la communication.
Les deux forment une paire qui sera indispensable pour nos étudiants. D’autres ouvrages sont excellents, mais on comprendra que nous les privilégions! Ils portent la voix ensemble d’une quarantaine de spécialistes de marketing.

L’invariance des baromètres de satisfaction

Malédiction de la satisfaction
Par Amine Benabi - Doctorant CEROS et Cifre Init . 
 
La question de la satisfaction n’est pas qu’une question de concept. C’est aussi un problème de mesure, d’une mesure qui se fait le plus souvent sous la forme d’un baromètre destiné à en identifier les variations. Ces enquêtes s’inscrivent comme des éléments de contrôle des stratégies sont menée au moins annuellement, souvent trimestriellement et parfois de manière continue.

La satisfaction client qui est souvent considérée comme la composante la plus importante des politique relationnelle, et qui conduit à la fidélité est définie comme une résultante de la comparaison entre les attentes et l’évaluation de la performance perçue du produit ou du service (Oliver, 1997). Ce modèle connu sous le nom de la Disconfirmation des attentes, est à la base du paradigme de la satisfaction, et explique le processus de sa réalisation.

Cependant les mesures effectuées sont plus souvent liées à une évaluation globale qui ne permet pas toujours de discerner l’accroissement des attentes et celle de la qualité perçue, ce qui permet d’expliquer un phénomène courant : les baromètres sont plats, et au cours du temps peu de variations sont observées. Le phénomène peut être accru quand les résultats sont agrégée au niveau de la marque. Dans un examen quotidien de l’efficacité de la politique centrée clients à travers des enquêtes de satisfaction ; les sondeurs utilisent différents indicateurs et parmi les plus populaires : le calcul de taux (pourcentages), de moyennes ou encore des scores. Ces outils sont considérés comme des indicateurs fiables et représentatifs du phénomène étudié. Les différentes firmes procèdent ainsi à des contrôles permanents visant à établir l’évolution des indicateurs et ainsi corriger si nécessaire leurs actions (qui vise essentiellement une amélioration du produit ou service), pour mieux satisfaire leurs clients et donc de les fidéliser.

Or ces indicateurs calculés d’une vague à une autre souvent bougent très peu. Un gain d’un point dans une moyenne, ou encore dans un taux de satisfaits est vraiment très rare.

Cette observation faite au quotidien par les professionnels, nous aamené à se questionner sur le pourquoi de cette constance ou invariance. Les facteurs qui peuvent expliquer cette stabilité reposent sur deux hypothèses, qui sont :

H1 : les attentes des clients sont continuellement réévaluées, au même titre que l’amélioration du produit ou du service
H2 : Les clients recrutés (satisfaits) remplacent les partants (insatisfait)
L’augmentation de la qualité ou du niveau de service (donc de satisfaction) conduit à une augmentation des attentes et à mesure que les entreprises répondent aux attentes des clients pour mieux les satisfaire, elles encouragent aussi la réévaluation des attentes se condamnant à de nouvelles innovations et amélioration pour simplement maintenir le niveau de satisfaction. Une sorte de tapis roulant que l’on qualifierait volontiers de malédiction de la satisfaction. Cela peut créé un état d’équilibre permanent Les entreprises fidélisent mais recrutent aussi des nouveaux clients car les départs sont inéluctables. On peut supposer que les clients partants sont ceux qui ont la plus basse satisfaction et des attentes assouvies face à des attentes élevée. En revanche les nouveaux clients n’ont pas un niveau prononcé d’attentes et peuvent être satisfait facilement et sans trop d’effort. 

A partir de cette double hypothèse configurations deviennent possibles :

1-Une progression  de la satisfaction par rapport à la vague précédente : c’est le cas ou les nouveaux arrivants sont plus nombreux que les partants et en même temps, les restants sont constants au niveau de la satisfaction 
2-Une diminution  de la satisfaction par rapport à la vague précédente : c’est le cas où les recrutés sont moins nombreux que les partants et que les restants sont en phase de devenir des futures partant (niveau de satisfaction baisse). 

Les deux hypothèses émises précédemment, sont centrées sur l’augmentation des attentes clients vue globalement sur la population des consommateurs. Si cette augmentation est comblée par l’évolution du produit, il y a équilibre (H1). Si ce n’est pas le cas un déséquilibre négatif peut être corrigé par le recrutement des nouveaux clients (H2). Si le déséquilibre est positif, les améliorations vont au-delà des nouvelles attentes, une stabilité des indicateurs marquerait simplement un équilibre de l’attrition et de l’acquisition. On voit ici que l’invariance des mesures de satisfaction est conditionnée à deux cas qui se complètent et qui sont maintenus comme tels par les entreprises. La stabilité des indicateurs de satisfaction masque en fait une dynamique plus forte. L’équilibre se situe dans le rapport entre les attentes et la performance perçue par les clients, et entre le renouvellement de ces derniers. 

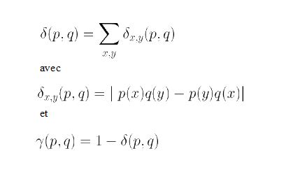
Reste à tester cette invariance. Un calcul statistique est disponible pour réaliser ce test : l’indice de distorsion  (Térouanne,1995). En voici une illustration avec un baromètre de satisfaction d’un chaine de distribution portant sur douze trimestres et donc 12 vagues. Le cumul de données pour l’entreprise en question, dépasse les 126 000 individus (10 000 par vague). Cette grande dimension de l’information donnera une certaine sécurité aux résultats.Comme l’idée est de prouver la stabilité des mesures d’une vague à une autre, nous comparerons les mesures dans chaque vague pour voir si la stabilité existe. 

Pour celà nous utilisons un indice « distorsion » utilisée pour mesurer l’écart entre la concentration de deux distributions de fréquences. Cette notion de « distorsion » est utilisée pour comparer la distribution des fréquences du critère de satisfaction) d’une vague à une autre.Nous définirons l’indice de distorsion selon (Térouanne, 1995), entre deux distributions de fréquences p, et q, par δ(p,q) qui est compris entre 0 et 1. Si l’indice est égale à 0, nous nous trouvons dans le cas où les distributions des fréquences sont égales p=q, et si il est égale à 1 ça sera le cas où les deux distributions sont totalement différentes. Comme la problématique de notre étude, est de prouver que les distributions d’une vague à une autre, sont identiques, nous prendrons l’indicateur γ(p,q).

Ce qui nous permet de traduire la stabilité de la mesure par un indice qui exprimera la ressemblance entre deux distributions avec une valeur proche de un et proche de zéro dans le cas d’une dissemblance. Les données recueillies dans chaque vague, concernent un item de satisfaction qui est posée aux répondants. Il s’agit de la satisfaction globale concernant le service de l’entreprise en question. Ce critère est mesuré sur une échelle allant de 1 à 10, 1 signifiant une satisfaction très basse et 10 un niveau très élevé. Les réponses au critère sont recueillies, dans chaque vague dont nous disposons de la distribution des fréquences sur laquelle l’indicateur γ(p,q), sera calculé. L’objectif sera de voir comment cet indice évolue d’une vague à une autre. Les valeurs trouvées sont les suivantes :
Les résultats nous montrent que les distributions des fréquences pour le critère de satisfaction, restent stables d’une vague à un autre. La ressemblance est au minimum à 96.8%, ce qui nous renseigne sur le degré de la similitude entre les résultats fournis d’une vague à une autre. La réduction de la similitude au cours des dernières vagues indique un changement d’état qui reste à caractériser.
Dans cette étude, nous avons établi la stabilité des mesures de satisfaction d’une vague à une autre. Cette stabilité n’est pas une stagnation, le double mouvement de la réévaluation des attentes et du renouvellement du portefeuille produit une stabilité des indicateurs de satisfaction qui est le signe que l’entreprise conserve et améliore ses services. Cette stabilité est le résultat direct d’une bonne notoriété et un bon processus de travail de l’entreprise. Car les clients jugent le produit ou le service mais juge aussi l’historique de la relation.

Amine Benabi - Doctorant.

Pourquoi partage-t-on nos contenus et recommandations?

Le marketing du web doit tirer de la dynamique sociale la matière de sa diffusion. C’est l’action de recommandation qui devient le relais essentiel, notamment dans un secteur comme le transport et le tourisme où une grande partie des commandes est faite par le net et grâce à la recommandation des internautes.

Nous avions déjà fourni une première liste de motivations, il fallait bien en faire un premier test. Juste une petite enquête pour opérationnaliser ces 11 premières motivations. Et c’est ce qu’une de nos étudiantes de Master,  LE Anh Ngoc s’est empressée de faire en prenant le cas du tourisme pour son mémoire. Une enquête légère auprès de 240 individus dont le seul but est de comprendre la structure de ces motivation avec une batterie de 24 propositions, suivant le protocole traditionnel de construction des échelles de mesure.
Et d’emblée un résultat étonnant de simplicité mais remarquablement clair. 4 facteurs principaux qui émergent, quatre types de motivations.
  • L’égoisme : il rassemble aussi bien la cupidité que l’orgueil, et un examen de sa sou-structure fait apparaitre trois facettes : reconnaissance de soi, expression de soi, et réalisation de soi.
  • Le souci d’équité qui prend la forme d’une volonté de la vengeance ou celle de l’encouragement quand l’expérience a été appréciée.
  • La norme de réciprocité  qui semble naitre de l’espérance que les autres nous aident, et de l’obligation d’aider ceux qui nous ont aidé
  • La praticité : facteur marginal, il marque que l’espace des médias sociaux est une alternative à la réclamation .
On laisse aux amateurs le soin d’examiner la solution factorielle obtenue. Elle est brute simple, et méritera tous les raffinement possibles, il ne s’agit encore ici que d’un pré-test et l’échantillon limité et pas tout à fait contrôlé n’a de valeur que de banc d’essai.
En dépit des imperfections, des éléments intelligibles apparaissent. Le premier dans le schéma final se révèle avec les profils de motivations selon la fréquence de publication. Le centre de gravité est représenté par ceux qui le font occasionnellement. Ceux qui n’ont agit qu’une fois (ou deux) l’on plutôt fait par esprit de vengeance et parce que la méthode est une alternative à des réclamation ou des rétorsion traditionnelles. Ils le font peu pour se faire valoir. En revanche ceux pour qui l’activité est fréquente y trouvent une satisfaction toute personnelle, pour le bénéfice matériel si les contenus sont récompensés, la réalisation de soi ou l’admiration et la flatterie. C’est au fond bien naturel et il n’y a pas à s’étonner que ceux qui agissent le font par intérêt. L’étonnant est ailleurs, dans l’espérance de réciprocité – publier car on a été aidé par les publications des autres et donner son avis pour aider les autres. Quant à la vengeance elle est dominée chez les forts contributeurs par le désir d’encourager.
On pourrait voir dans ce portrait la logique de l’estime de soi. Les motivations agressives sont des actes isolés,  les motivations constructives nourissent la fréquence de publication. C’est une bonne nouvelle qui signifie que même si les contributeurs sur les réseaux sociaux sont minoritaires ( moins d’un tiers), leurs actions est positive : encourager et échanger pour son plus grand profit.

Avant d’en regarder les résultats, poursuivez l’expérience avec nous en répondant au questionnaire.

Chronique 37 : les techniques de l’offre et de la demande

Il est bon de retrouver des collègues intelligents et de partager un moment de conversation. Celle que j’ai eu l’honneur de partager avec Marc Filser et Emmanuel Mignot a été délicieuse. Une caméra qui démarre, une introduction en retard, et la convergence dans l’échange et de sentir que des points de jonctions se font naturellement. Une après midi pour cherclient.com.

L’un d’eux est cette idée que le marketing n’est pas une chose construite pardessus les marchés, mais celà même qui leur permet d’exister. Non pas que par le discours sur la méthode et sur les techniques, mais par le fait que la demande souvent inconsciente de ses désirs, et une offre  ignorante de ce qu’elle sert, se rencontrent et s’ajustent selon les modalités de la psychologie, de l’économie, de la sociologie et finalement, et essentiellement dans nos civilisations par les cultures et leur rapport.

Le marketing est une action avant d’être une pensée, cette pensée pratique s’exprime sous la forme d’une doctrine, l’action et la doctrine forment des stratégies. Il est en face des résistances et des adhésions. Les deux mouvements font le marché. Des institutions, des technologies, un état des richesses et des appétits.

Ce qui se donne ne sait jamais vraiment à quelle demande il correspond. La demande sait rarement ce qu’elle veut véritablement. Mais quand un accord semble possible, le reste dépend des ajustements mutuels. De la recherche d’information des consommateurs, de leurs coups de coeur. Des réponses des marques. D’un tissu d’actions et de paroles qui à tatons cherche l’équilibre.  Ces ajustements sont l’objet du marketing, l’offre et la demande au fond le fruit du hasard.

Les lois sociales changent peu. Les techniques très vite. Les conditions sociales et économiques aussi. C’est en repensant continuellement quelques principes profonds que le marketing peut comprendre les nouveaux environnements. Le notre se caractérise par une échelle globale, la faculté plus grande de prendre en compte d’ici et maintenant, la force du culturel dans les sociétés, une richesse matérielle accrue, des facultés de jugement grandies.

Un monde rapide, imprévisible, qui donne au sens de l’improvisation un avantage certain et à la capacité d’adhésion une vertu supérieure. Les mécanismes d’ajustements sont contingents même s’ils doivent résoudre des problèmes universaux : l’envie, l’imitation, la distinction, la domination, l’affection, la confiance, …

On comprendra aisément que le marketing joue sur deux plans : celui d’une proposition fondamentale longuement murie dans la compréhension profonde des désirs, des préventions, et des intelligence du consommateurs, puis dans cet ajustement qui prend forme du produit à la relation et déborde dans ce moment du désir et de la possession. Il n’est pas de bien sans expérience qu’elle soit celle de l’achat ou celle de la consommation.